Предмет: Алгебра,
автор: MissCullen
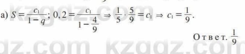
470. Найдите первый член бесконечно убывающей геометрической прогрессии (Сn ), для которой:
a) S = 0,2 и q = 9/4
б) S = 0,5 и с1 + c2 = 0,48
в) S = 6,4 и с1 + c2 + c3 = 6,3.
Ответы
Автор ответа:
0
сделала только а,в
остальное не знаю
Приложения:
Похожие вопросы
Предмет: История,
автор: omihalsuk763
Предмет: Физика,
автор: nikabogdanovaaa
Предмет: Литература,
автор: noserbokonovaanalina
Предмет: Математика,
автор: angelina282911
Предмет: Русский язык,
автор: irinakovalchuk67