Предмет: Физика, автор: valikafrangaki

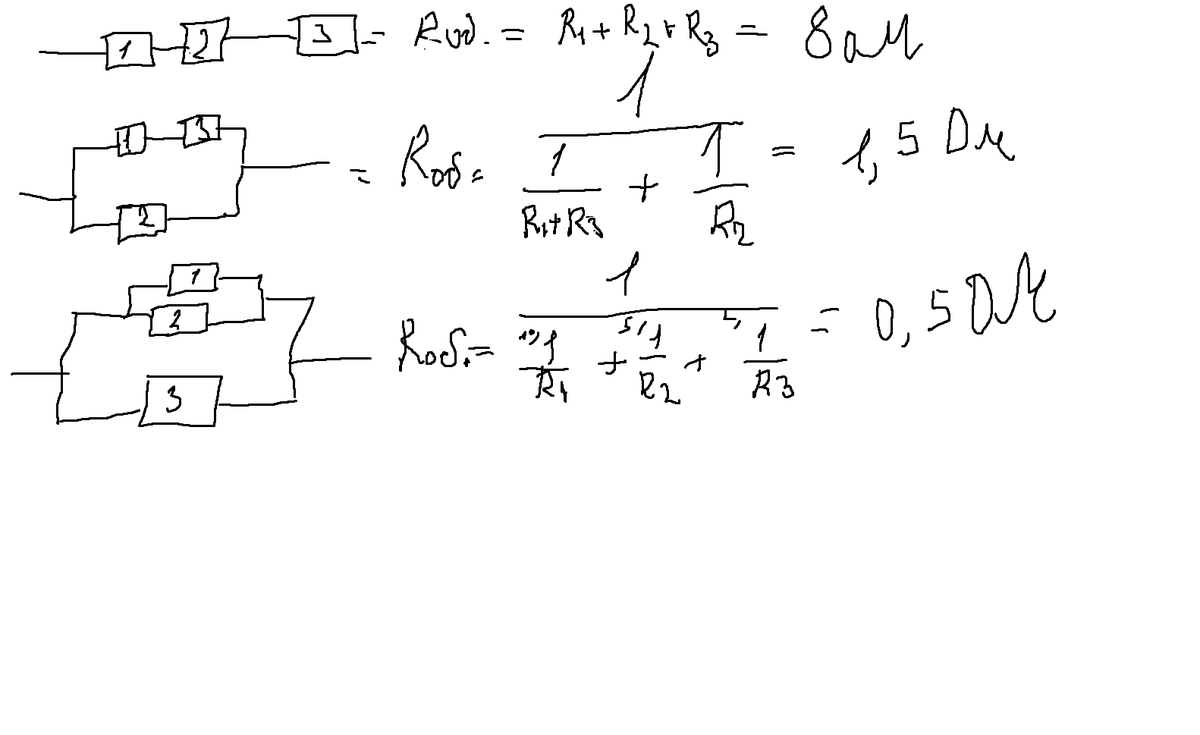
составьте все возможные схемы подключения трех резисторов R1=1ОМ,r2=2ОМ  и R3=5 ОМ  и определите   общее сопротивление для каждого варианта

Ответы

Автор ответа: blad3518
0
Все чем мог помог! .........................
Приложения:
Похожие вопросы
Предмет: Информатика, автор: niktoten
желательно на python

олимпиадное задание по информатике 2019 года

Число e = 2, 718281828459...

находит применение во многих разделах математики, в

первую очередь алгебре и математическом анализе. Очень часто это число называют числом Эйлера в честь великого математика XVIII в Леонарда Эйлера (1707-1783).

Леонард Эйлер впервые использовал букву e для обозначения этого числа в книге «Механика», изданной в 1736 г., хотя в рукописях и письмах такое обозначение было использовано начиная с 1728 г.

В своих книгах, статьях и рукописях Эйлер рассмотрел множество способов вычисления числа e. Очень интересен способ, связанный с представлением числа Эйлера в виде бесконечной
непрерывной дроби


Увеличивая число шагов, можно получить приближенное выражение числа Эйлера с высокой точностью в виде дроби.
Необходимо написать программу для поиска числителя и
знаменателя такой дроби при условии, что выбирается первый знаменатель, строго больший заданного числа n.

Формат входных данных:

В единственной строке входных данных записано целое число n (
2 ≤ n ≤10 (в 9й степени))

Формат выходных данных:

Выведите два натуральных числа, разделенных пробелами – числитель и знаменатель дроби, приближенно выражающей число Эйлера, при этом знаменатель должен быть минимальным, но больше n.

Пример входных данных:

15

Пример выходных данных:

144 53