Предмет: Математика,
автор: evashka777g
378 Вычисли:
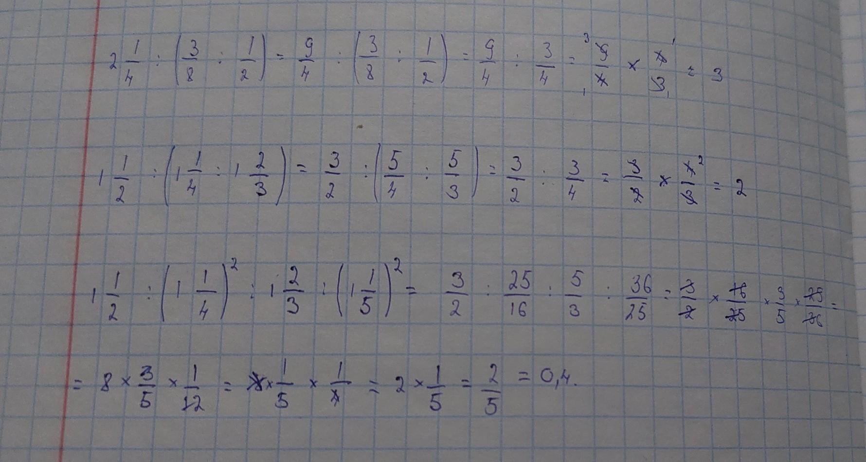
2) 2 1/4 : ( 3/8 : 1/2) =
4) 1 1/2 : ( 1 1/4 : 1 2/3) =
6) 1 1/2 : (1 1/4)² : 1 2/3 : (1 1/5)² =
Ответьте пожалуйста по шагово, а не просто ответ!!!
Ответы
Автор ответа:
1
Ответ:1)7
Пошаговое объяснение:
1) 21/4÷(3/8÷1/2)=
21/4÷(3/8×2)=
21/4÷3/4=
21/4×3/4=7
evashka777g:
Не спасиюо
Автор ответа:
3
_______________________________________
Приложения:
Спасибо!!!
Тока вместо 0,4 можно записать как 2/5!
Похожие вопросы
Предмет: Українська мова,
автор: shentsinskaya
Предмет: Русский язык,
автор: fk729189
Предмет: Физика,
автор: yourist104
Предмет: Математика,
автор: Аноним
Предмет: Алгебра,
автор: lolaergasheva04