Предмет: Алгебра, автор: krazidima

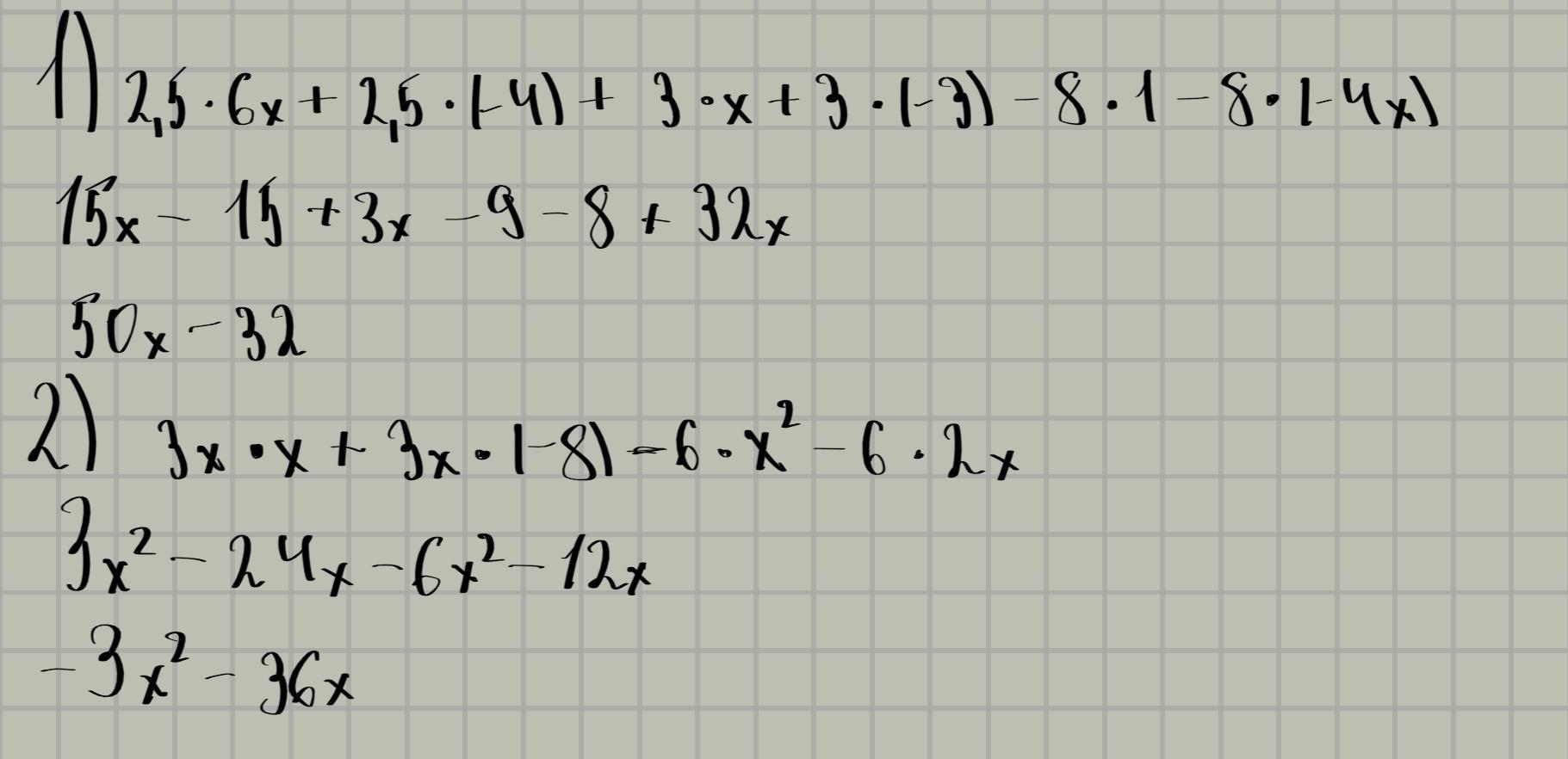
Перетворіть у многочлен стандартного вигляду вираз: 1) 2,5 (6x-4)+3(x-3)−8 (1-4x); 2) 3x (x-8)-6 (x²+2x); 2 3) 5a (a2-4a)-8a (a²-6a); 4) 2y (x-y)+y (7y-3x);​

Приложения:

Ответы

Автор ответа: oksanaromancuk40
0

Ответ:

1) 15х-10+3х-9-8+32х =50х-27

2) 3х^2-24х-6х^2-12х=-3х^2-36х


krazidima: розпиши
Автор ответа: 77bk7fscwp
0

Відповідь:

Пояснення:

Приложения:
Похожие вопросы
Предмет: Алгебра, автор: kohalena1
Предмет: Қазақ тiлi, автор: darinka6855
Қаланың қарбалас тіршілігі

Мәтінді оқы. Мәтін не туралы?
Әр елдің астанасы ел билігі үшін өте маңызды қала болып есептеледі. Онда әлеуметтік, экономикалық әрі мәдени орталықтар ғана емес, ең маңыздысы онда міндетті түрде мемлекеттік биліктің ең үлкен органдары мен басқару апараттары орналасады. Мемлекеттің астанасы елдің ең үлкен қаласы болмауы керек. Мысалы, Канаданың ең ірі өндірістік, әрі транспорттық орталығы ретінде Монреаль қаласы саналады. Ал, негізгі астанасы – Оттава қаласы. Оттавада парламент, үкімет, сыртқы істер және екі университет орналасқан, кітапхана, мұражай, білім ізденуші орталық бар. Сол секілді Қытайдың Шанхай қаласы астанасы Пекиннен әлдеқайда үлкен және дамыған. АҚШ-тың Нью-Йорк қаласы да сол елдегі ең үлкен, ең дамыған қала болып есептеледі. Сондай-ақ Қазақстандағы Алматы қаласы да Астана қаласына қарағанда халқы көп, аумағы үлкен, даму деңгейі жоғары.

Астананы қалай дамытуға болатыны туралы
Астана қандай болуы керектігі туралы
Алып елдердің астанасы туралы
Әлемдегі ең ірі қалалар туралы
ПОМОГИТЕ СРОЧНОООООООООО ПОЖАЛУЙСТА НЕ ИГНОРИРУЙТЕ!!!!!!!!!!