Предмет: Геометрия,
автор: arina10001000
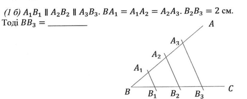
Завдання прикріплено в фото.
Приложения:
Ответы
Автор ответа:
1
Ответ:
Объяснение:
ВВ1=В1В2=В2В3=2 см
ВВ3=ВВ1+В1В2+В2В3=2+2+2=6
Похожие вопросы
Предмет: Геометрия,
автор: vanapocko7
Предмет: Українська література,
автор: DimaOnZ
Предмет: Математика,
автор: lipnickypasha2011
Предмет: Алгебра,
автор: asiakalbaeva25
Предмет: География,
автор: alinaastasho4