Предмет: Алгебра,
автор: annasecka908
Поможіть, дуже надо...
Приложения:
Ответы
Автор ответа:
0
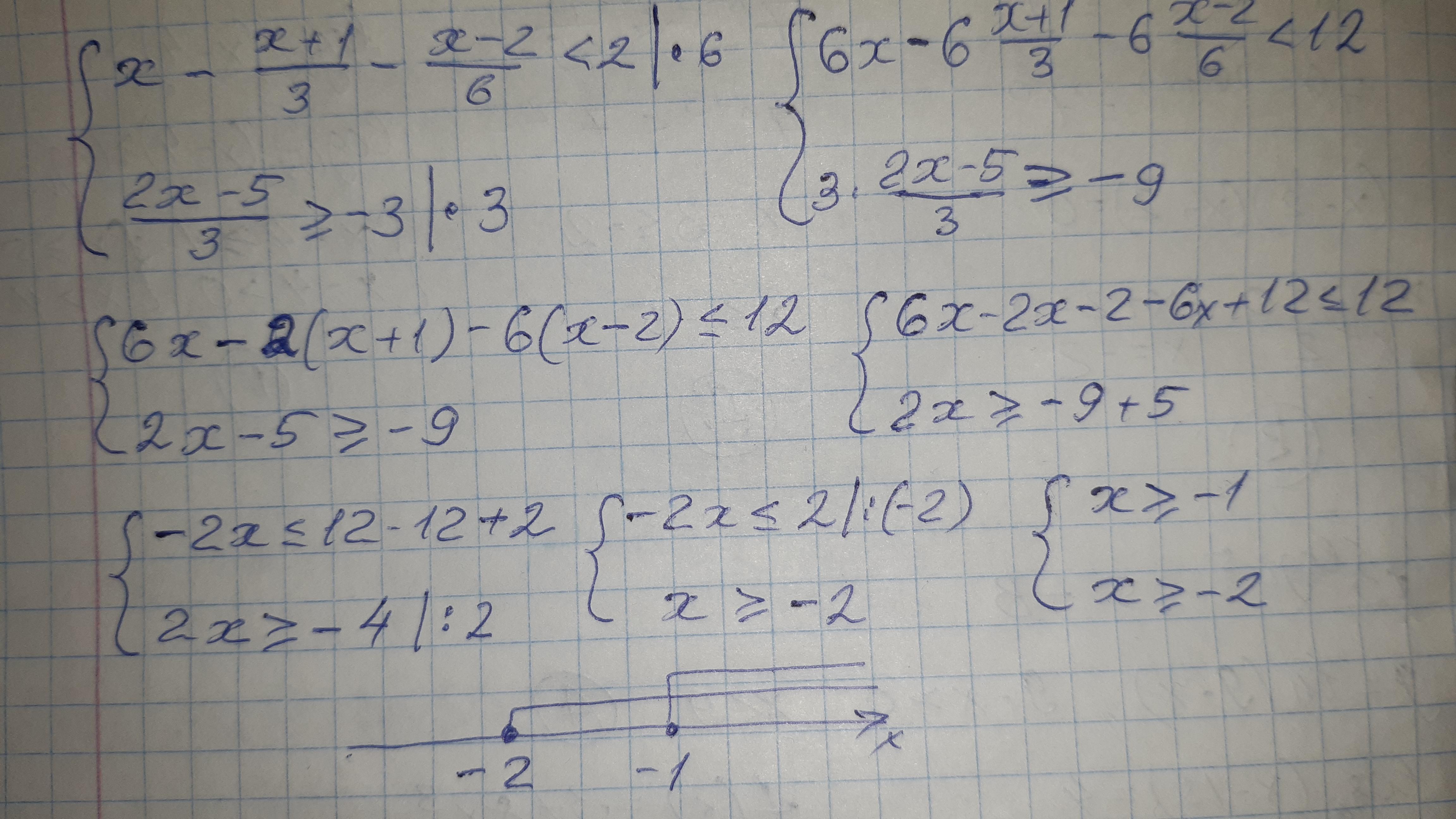
Вот ответ!!!!!!!!!!!!!!!
Приложения:
Автор ответа:
0
Ответ:
на фото
Объяснение:
Приложения:
Похожие вопросы
Предмет: Українська мова,
автор: bondarevfedor87
Предмет: Биология,
автор: andreydodo445
Предмет: Физика,
автор: qweridhdjdj24
Предмет: Қазақ тiлi,
автор: Аноним
Предмет: Английский язык,
автор: ivanofafa200700