Предмет: Геометрия, автор: StevePerry

Хелпппппппппппппппппппппппппппппппп

Приложения:

Ответы

Автор ответа: NNNLLL54
2

Ответ:

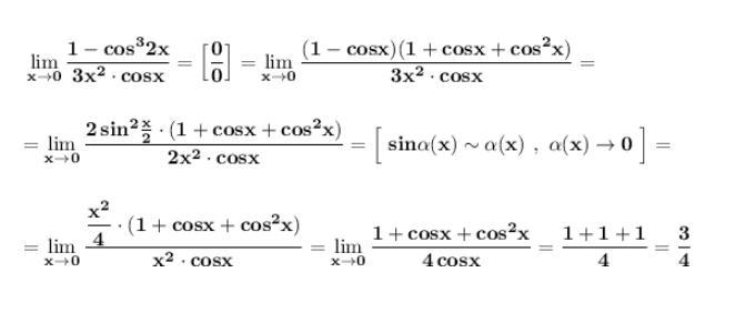
1)  Применяем разложение разности кубов и замену эквивалентных бесконечно малых величин .

\bf \lim\limits _{x \to 0}\dfrac{1-cos^32x}{3x^2\cdot cosx}=\Big[\dfrac{0}{0}\Big]=\lim\limits _{x \to 0}\dfrac{(1-cosx)(1+cosx+cos^2x)}{3x^2\cdot cosx}=\\\\\\=\lim\limits _{x \to 0}\dfrac{2\, sin^2\frac{x}{2}\cdot (1+cosx+cos^2x)}{2x^2\cdot cosx}=\Big[\ sin\alpha (x)\sim \alpha (x)\ ,\ \alpha (x)\to 0\ \Big]=\\\\\\=\lim\limits _{x \to 0}\dfrac{\dfrac{x^2}{4}\cdot (1+cosx+cos^2x)}{x^2\cdot cosx}=\lim\limits _{x \to 0}\dfrac{1+cosx+cos^2x}{4\, cosx}=\dfrac{1+1+1}{4}=\dfrac{3}{4}  

2)  Применим 2 замечательный предел .

\bf  \lim\limits _{x \to \infty }\Big(\dfrac{3x-1}{3x+1}\Big)^{2x}=\Big[1^{\infty }\Big]=}\lim\limits _{x \to \infty }\Big(1+\dfrac{-2}{3x+1}\Big)^{2x}=\lim\limits _{x \to \infty }\Big(1+\dfrac{-2}{3x+1}\Big)^{\frac{3x+1}{-2}\cdot \frac{-2\cdot 2x}{3x+1}}=\\\\\\=\lim\limits _{x \to \infty }\Big(\Big(1+\dfrac{-2}{3x+1}\Big)^{\frac{3x+1}{-2}}\Big)^{\frac{-2\cdot 2x}{3x+1}}=e^{ \lim\limits_{x \to 0}\frac{-4x}{3x+1}}=e^0=1

Приложения:
Похожие вопросы