Предмет: Алгебра,
автор: timotiodessa
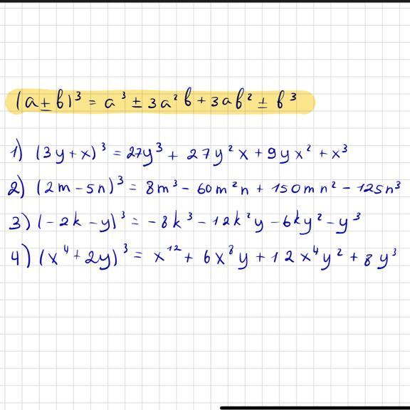
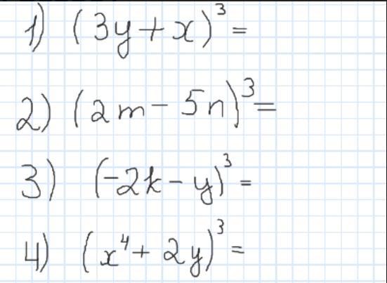
тема Куб суми та куб різниці двох виразів
Приложения:
Ответы
Автор ответа:
1
тут просто треба застосувати формулу скороченого меоження
Приложения:
Похожие вопросы
Предмет: Українська література,
автор: studio13vlog
Предмет: Химия,
автор: bondarecmargarita728
Предмет: География,
автор: Atreyos
Предмет: Русский язык,
автор: NyutaMilyutina
Предмет: Русский язык,
автор: batterfly03