Предмет: Математика, автор: mineooopppp

Дплмлжіть будь ласка!​

Приложения:

Ответы

Автор ответа: ladybugsan0
1

Ответ:

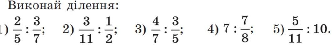
вирішення завдання на фото

Приложения:

mineooopppp: Зможеш мені ще допомогти? там такіж самі приклади, 35 балів дам
Автор ответа: yayahopled
0

 \frac{2}{5}  \div  \frac{3}{7}  =  \frac{2}{5}  \times  \frac{7}{3}  =  \frac{14}{15}

 \frac{3}{11}  \div  \frac{1}{2}  =  \frac{3}{11}  \times 2 =  \frac{6}{11}

 \frac{4}{7}  \div  \frac{3}{5}  =  \frac{4}{7}  \times  \frac{5}{3}  =  \frac{20}{21}

7 \div  \frac{7}{8}  =  \frac{7}{1}  \times  \frac{8}{7}  =  \frac{8}{1}  = 8

 \frac{5}{11}  \div 10 =  \frac{5}{11}  \times  \frac{1}{10}  =  \frac{1}{22}

Похожие вопросы
Предмет: Информатика, автор: voprosich
I. Початковий рівень (за кожну правильну відповідь 1 бал)
1. Як зробити посилання на ділянку пам’яті, в якій зберігається значення змінної? Виберіть вірну відповідь:
1) Присвоїти значення змінній
2) Визначити тип змінної
3) Визначити скільки місця займе змінна у пам’яті
4) Дати назву змінній
2. Дано фрагмент програми:
If a%10<3: b=a*2
Else: b=a+1
Як зробити введення значення змінної а у програму :
1) а=5
2) a=input(‘a=’)
3) a=print(‘a=’)
4) print(a)

II. Середній рівень (за кожну правильну відповідь 1 бал)
3. Дано фрагмент програми:
for i in range(98, 9 , -2)
print(i)
Яке перше число буде виведене на екран:
1) 1
2) 9
3) 98
4) -2
4. Дано фрагмент програми:
for i in [1, 2, 3, 4]
print(i*2)
який результат буде виведено на екран?
1) 1, 2, 3, 4
2) 2, 4, 6, 8
3) 2, 3, 4, 5
4) 1, 4, 9, 16
5. Дано а=[1, 32, 21, 32, 4, 32] Який буде результат дії а.index(32)
1) 1
2) 3
3) 32
4) 4
ІІІ. Достатній рівень (може бути декілька правильних відповідей, за кожну правильну відповідь 1 бал.)
6. Опишіть етапи розв’язування задачі за допомогою комп’ютера.

7. Побудуйте математичну модель задачі.
Задача. Від продажу перших 100 газет продавець заробляє а грн, а від продажу кожної наступної — по х коп. Визначте, скільки отримає продавець, якщо продано у газет ( у > 100).

8. Напишіть результати застосування функцій перетворення типів:
1) int(‘25’)
2) int(4,9)
3) str(25)
4) float(25)

IV. Високий рівень (за кожну правильну відповідь 1 бал)
9. Запишіть оператори, що реалізують присвоєння змінній b таких зрізів рядка а:
а) перші вісім символів;
б) символи з індексами, кратними трьом.

10. Дано список а = [1, 2, 3, 4, 5, 6, 7, 8, 9, 10]. Чому дорівнюють
значення виразів: а) len(а); б) а[1] + а[3]?
11. Дано список a = [2, –7, –1, 8, 4]. Що буде надруковано після
виконання наведених фрагментів коду?


а) for i in range(5):
a[i] = a[i]*2
print(a)

б) k = 0
for item in a:
if(item>0): k = k+1
print(k)


12. Дано список a = [2, –7, –1, 8, 2, 4]. Що буде надруковано після
виконання наведених фрагментів програми?


а) m = min(a)
n = a.index(m)
del(a[n])
print(a)

б) a.sort()
print(a)
s = sum(a[1:5])
print(s)

4