Предмет: Алгебра,
автор: hola9692
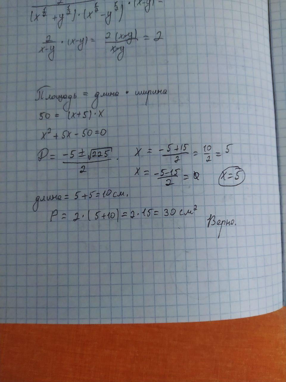
Найдите периметр прямоугольника, длина которого на 5 см больше ширины, а площадь равна 50 см².
50
Ответы
Автор ответа:
2
Ответ:
На фото.
Объяснение:
Длина = 10
Ширина = 5
Площадь = 10 * 5 = 50см
Совпадает с условиями.
Приложения:
Похожие вопросы
Предмет: Биология,
автор: Juliaspeshbond
Предмет: Математика,
автор: Dima00022
Предмет: Английский язык,
автор: karina324036
Предмет: Русский язык,
автор: zhunuskhankudyshev
Предмет: Физика,
автор: kirilastafev05