Предмет: Алгебра,
автор: zenaklm2011
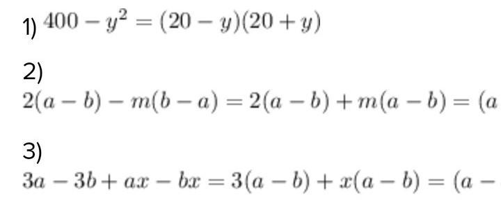
Розкладіть на множники:
а) 400-y^2;
б) 2(a - b) - m(b - a);
в) 3a-3b+ax-bx.
срочно!!!!!!
Ответы
Автор ответа:
1
Вот держи вроде правильно
Приложения:
Автор ответа:
1
Ответ:
если открыть скобки то получить эти ответы правильными
Приложения:
Похожие вопросы
Предмет: Биология,
автор: Juliaspeshbond
Предмет: Химия,
автор: rharkevic519
Предмет: Музыка,
автор: ilkirian11
Предмет: Математика,
автор: Аноним
Предмет: Қазақ тiлi,
автор: Аноним