Предмет: Математика,
автор: vadimoxa
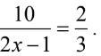
Розв’яжіть рівняння срочно треба
Приложения:
Ответы
Автор ответа:
1
Равно
82
так как делим на 6
Похожие вопросы
Предмет: Английский язык,
автор: sophiahlud92
Предмет: Другие предметы,
автор: goliknasta2015
Предмет: Геометрия,
автор: lol267439
Предмет: Русский язык,
автор: MokretsovaKsen220120