Предмет: Алгебра,
автор: vladislavaleksandren
ПОМОГИТЕ ПОЖАЛУЙСТА МОЛЮ ВАС ПОМОГИТЕ ПРОШУУУУУУ СРОЧНО НАДО ОЧЕНЬ!!!!!!!!!!!!!!
Приложения:
vladislavaleksandren:
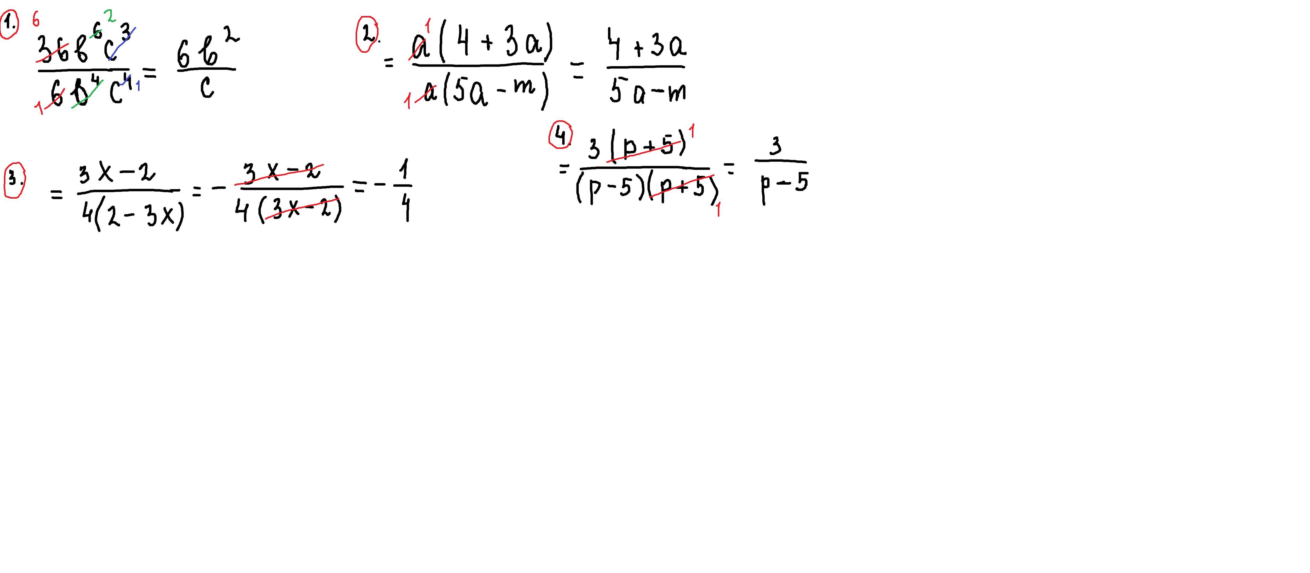
В 1 сверху 36b^6c^3
Ответы
Автор ответа:
0
Ответ:
Объяснение:
решение внизу
Приложения:
Похожие вопросы
Предмет: Английский язык,
автор: ivanovdanil20121991
Предмет: Английский язык,
автор: dfedeneva75
Предмет: Українська література,
автор: kirillokgo
Предмет: Кыргыз тили,
автор: samuel94
Предмет: История,
автор: daranenzaeva