Предмет: Алгебра,
автор: vladislavaleksandren
ПОМОГИТЕ ПОЖАЛУЙСТА УМОЛЯЮ
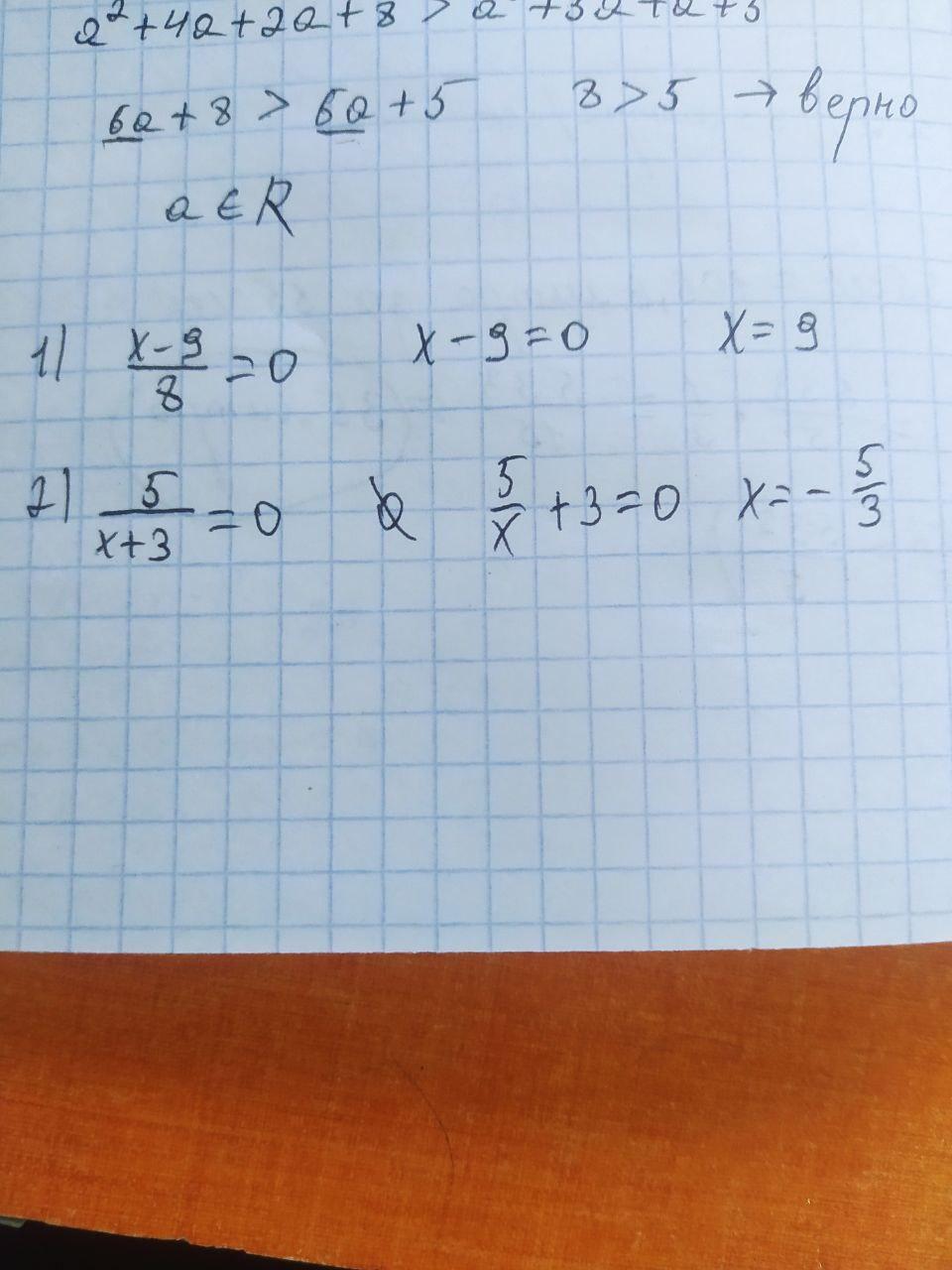
При яких значеннях змінної дріб дорівнюе нулю дріб: 1) х-9/8 2) 5/х+3
Ответы
Автор ответа:
2
Ответ:
1) x = 9
2) x = - 5/3
Объяснение:
На фото.
Приложения:
Похожие вопросы
Предмет: Русский язык,
автор: alizetinalieva6
Предмет: Алгебра,
автор: ezlosik208
Предмет: Математика,
автор: usikana835
Предмет: Қазақ тiлi,
автор: Аноним
Предмет: Математика,
автор: ulzanbajsejtova