Предмет: Алгебра,
автор: dimamigula39
Потрібне повне рішення! Даю 100 балів
Приложения:
Ответы
Автор ответа:
1
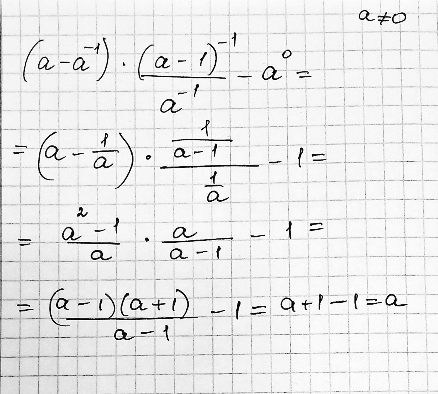
Ответ:
a
a#0;a#1
Объяснение:
решение на фото
Приложения:
Похожие вопросы
Предмет: Русский язык,
автор: aktileknurbolat8
Предмет: Русский язык,
автор: darhanasetuly
Предмет: Математика,
автор: ekateryna10072000
Предмет: Алгебра,
автор: kat5093
Предмет: Информатика,
автор: FlerysGaMe