Предмет: Алгебра,
автор: artemtomas21
помогите, ср до 14.00
Приложения:
Ответы
Автор ответа:
1
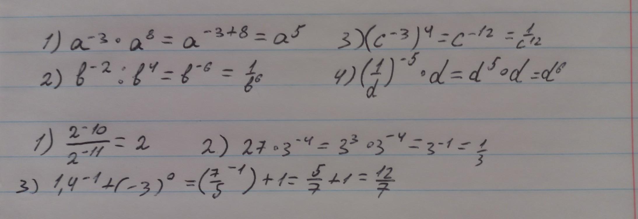
Ответ:
................
Объяснение:
см фото
Приложения:
artemtomas21:
благодарю!!
Автор ответа:
1
Дай, будь ласка, найкращу відповідь)
Приложения:
Похожие вопросы
Предмет: Математика,
автор: akihitohashiro
Предмет: Немецкий язык,
автор: KittyFluffy
Предмет: Қазақ тiлi,
автор: kristina0809m
Предмет: Русский язык,
автор: ahrorbabaev775
Предмет: Биология,
автор: ton124