Предмет: Математика,
автор: viktorialysiuk8
Чому дорівнює відстань між двома містами, якщо 40 км становлять 20 % цієї відстані?
Ответы
Автор ответа:
0
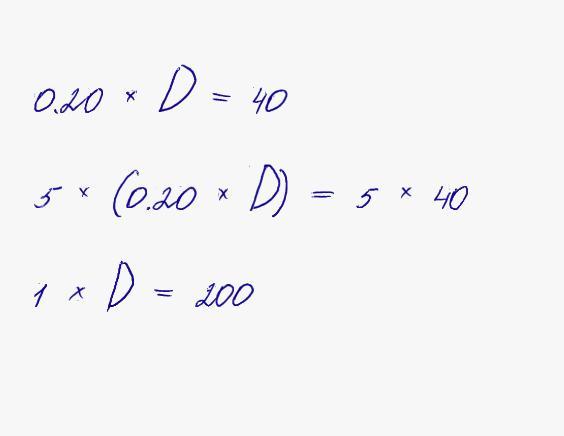
ответ на скрине потому что патаму
Приложения:
Автор ответа:
0
Ответ:
200км
Пошаговое объяснение:
Розглянемо величину відстані між містами як "Х". Якщо 40 км. становлять 20% цієї відстані, то можемо виразити це рівнянням: 0.2 * Х = 40 км.
Звідси ми можемо отримати значення відстані між містами (Х):
0.2 * Х = 40км.
Х = 40км : 0.2
Х = 200км.
Отже, відстань між двома містами дорівнює 200 км.
Похожие вопросы
Предмет: Математика,
автор: sashamix112233
Предмет: Химия,
автор: sofkawqi
Предмет: Қазақ тiлi,
автор: daniyarisabay
Предмет: Математика,
автор: zalbegovna
Предмет: Английский язык,
автор: karinakorzun300