Предмет: Алгебра, автор: Milkkkkkaaaaaaaa

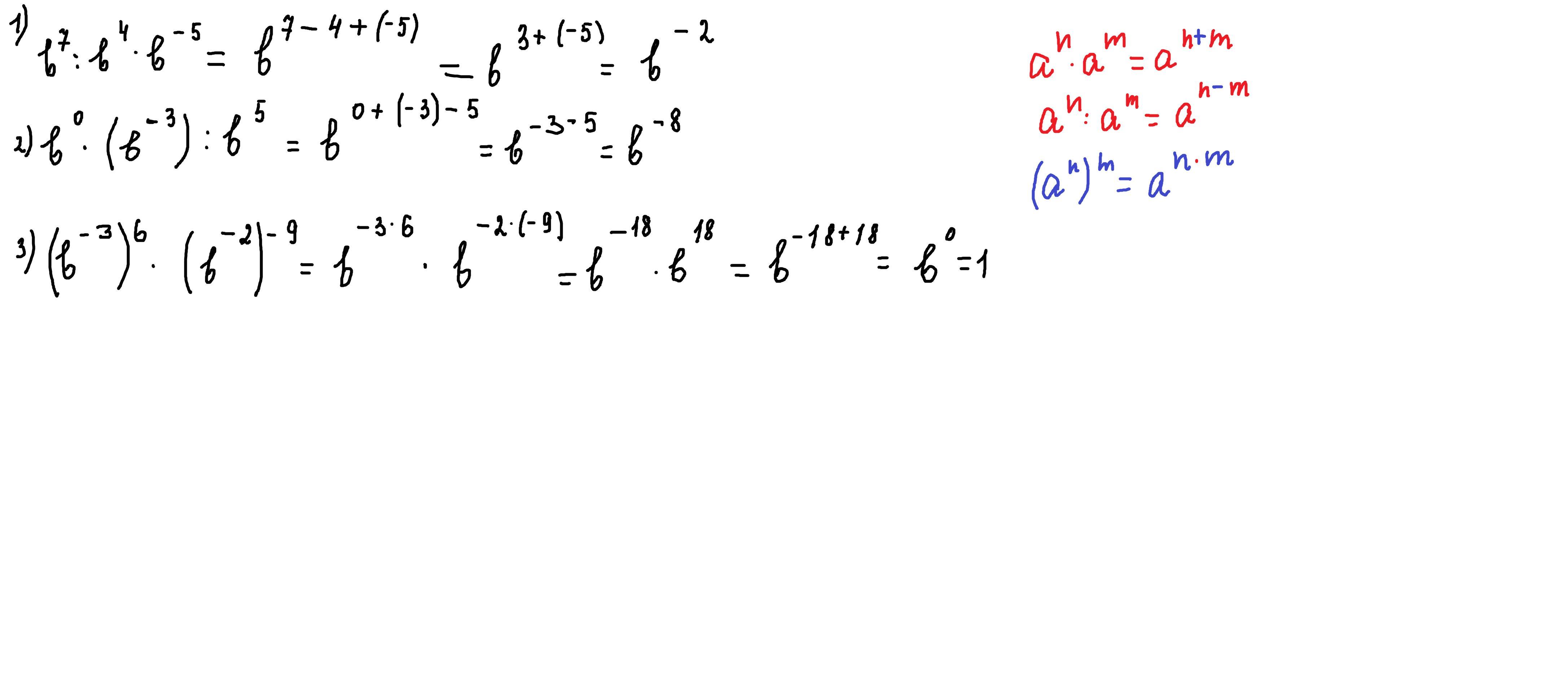
Подайте вираз у вигляді степеня з основою b:
НА ФОТО❗️

Приложения:

jnypycs7dc: 2)b в -8 степени

Ответы

Автор ответа: parus77
1

Ответ:

Объяснение:

решение и формулы внизу

Приложения:

Milkkkkkaaaaaaaa: Спасибо огромное!!!
parus77: пожалуйста
Похожие вопросы
Предмет: Химия, автор: salekcalin55
Хід роботи І. Кип’ятіння води 1. Налийте в пробірку воду об'ємом 2-3 мл, закріпіть пробірку в пробіркотримачі, обережно нагрійте полум'ї спиртівки, кип'ятіть 1-2 хвилини. B II. Заварювання чаю Додайте в пробірку з окропом кілька листочків чаю. Спостерігайте за забарвлен- ням розчину. III. Розчинення кухонної солі та її кристалізація 1. Налийте в пробірку воду об'ємом 1 мл, додайте шпателем кухонну сіль масою 1 г й обережно розмішайте скляною паличкою з гумовим наконечником. 2. Скляною паличкою перенесіть 3-4 краплини розчину на предметне скло, обережно нагрійте. IV.Взаємодія соди 3 кислотою Помістіть у пробірку половину шпателя питної Додавайте краплинами соди. оцет. V.Прожарювання міді Мідну пластину прожарюють в полум'ї пальника. Зробіть висновок: За якою ознакою відрізняють фізичні та хімічні явища? Спостереження, ВИСНОВОК Даю 50 балов ​
Предмет: Другие предметы, автор: marijkaabramik649
Запитання 1
Швидкий ріст, збільшення маси тіла, укріплення м'язів - це ознаки ...
а Соціального дозрівання
б Біологічного дозрівання
в Психологічного і духовного дозрівання
запитання 2
Набуття навичок самовдосконалення, керування емоціями - це ознаки ...
а Соціального дозрівання
б Біологічного дозрівання
в Психічного і духовного дозрівання
Запитання 3
Набуття навичок упевненої поведінки, протидії тиску та маніпуляціям - це ознаки ...
а Біологічного дозрівання
б Соціального дозріванння
в Психологічного і духовного дозрівання Запитання 4
Назвіть основні чинники впливу на фізичний розвиток підлітків:
а фізична (рухова) активність
бШкідливі звички
в Корисні звички
г Збалансоване харчування
ґ Стан довкілля
д Традиції
Запитання 5
До основних функцій шкіри належать:
Захищає від проникнення в організм шкідливих мікроорганізмів
а Підтримує смакові рецептори в організмі б.Підтримує сталу температуру тіла
в Захищає від сонячної радіації
г Містить теплові і больові рецептори
Запитання 6
а Шкіра складається із таких шарів ...
б Антидерма
в Епідерміс
г Мегадерміс
ґ Підшкірний жир
д Кровоносні судини
Запитання 7
Верхній шар шкіри - це ...
а Підшкірний жир
б Дерма
в Епідерміс
Запитання 8
Який шар шкіри містить потові залози, волосяні фолікули та кровоносні судини?
а Епідерміс
б Дерма
в Підшкірний жир
Запитання 9
Який шар шкіри виконує захисну функцію організму?
а Епідерміс
б Дерма
в Підшкірний жир
Запитання 10
Назвіть чинники, що впливають на здоров'я шкіри:
а Раціональне харчування
б Гігієнічні процедури
в Шкідливі звички
г Міцний та повноцінний сон
ґ Емоції Переїдання
д Загартовування
Запитання 11
Які типи шкіри ти знаєш?
а Нормальна
б Погана
в Суха
г Жирна
ґ Комбінована
д Середня
Запитання 12
Про який тип шкіри йдеться: "грубувата, має розширені пори, схильна до утворення вугрів та прищів"?
а Жирна
б Суха
в Нормальна
г Комбінована
Запитання 13
Про який тип шкіри йдеться:
"матова, ніжна, тонка, дуже чутлива, схильна до лущення"?
а Жирна
б Суха
в Нормальна
г Комбінована
Запитання 14
Догляд за будь-яким типом шкіри складається з трьох етапів. А саме:
а Очищення
б Живлення
в Видалення
г Захист Комбінація
ґ Систематика
Запитання 15
Які типи волосся ти знаєш?
а Сухе
б Мокре
в Жирне
г Нормальне
ґ Різне
д Комбіноване​
Предмет: Алгебра, автор: derif23068