Предмет: Математика,
автор: romanovadaria610
Допоможіть вирішити задачу
Подарую 10 балів !!!!
Відстань від домі Віті до гімназії 2 км. Знайдіть скільки часу знадобиться хлопцю щоб дійти до гімназії якщо вважати що він рухається з постійною швидкістю 6 км/год відомо що подолати цю відстань і з татом на авто можна за 7 хвилин порівняйте визначений час з поданим.
elina200816:
не 20 а 10(5)
Ответы
Автор ответа:
0
Ответ:
Пошаговое объяснение:
время=расстояние/скорость
1)2км/6км/год=1/3 год = 0,33 години знадобиться хлопцю дійти до гімназії
2) 7 хвилин це 7/60=0,117 години
3) 0,33 години більше ніж 0,117 годин, тому на авто буде бистріше
Автор ответа:
0
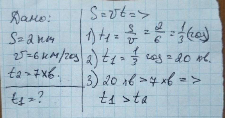
Відповідь:
Дивитися фото нижче.
Покрокове пояснення:
Приложения:
Похожие вопросы
Предмет: Українська мова,
автор: kruvaira87
Предмет: Українська література,
автор: zigadloaroslav31
Предмет: Биология,
автор: nesterovzakhar
Предмет: Алгебра,
автор: alina0366
Предмет: Литература,
автор: kurovaanastasisika