Предмет: Алгебра,
автор: qwizzyxee
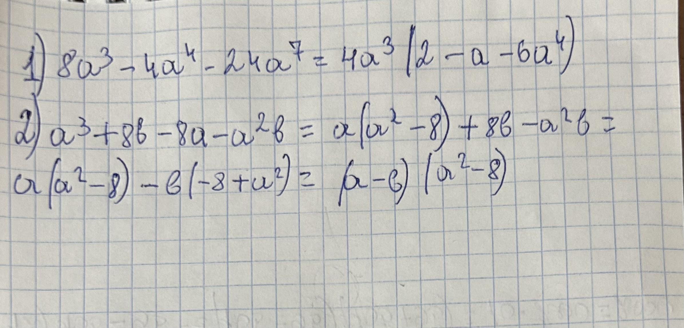
помогите пожалуйста!! очень срочно!! даю 50 балов
Приложения:
Ответы
Автор ответа:
0
Если есть вопросы, задавайте! Всегда буду рад помочь.
Приложения:
Milkkkkkaaaaaaaa:
Помогите пожалуйста мне с алгеброй последнее задание в профиле..
Похожие вопросы
Предмет: Литература,
автор: ludmilatopal1475
Предмет: Українська мова,
автор: wk2bhwj2wc
Предмет: Литература,
автор: nfndkdjdjne
Предмет: Физика,
автор: patacenkok
Предмет: Литература,
автор: viktoriyastar0609