Предмет: Математика,
автор: ksenia173
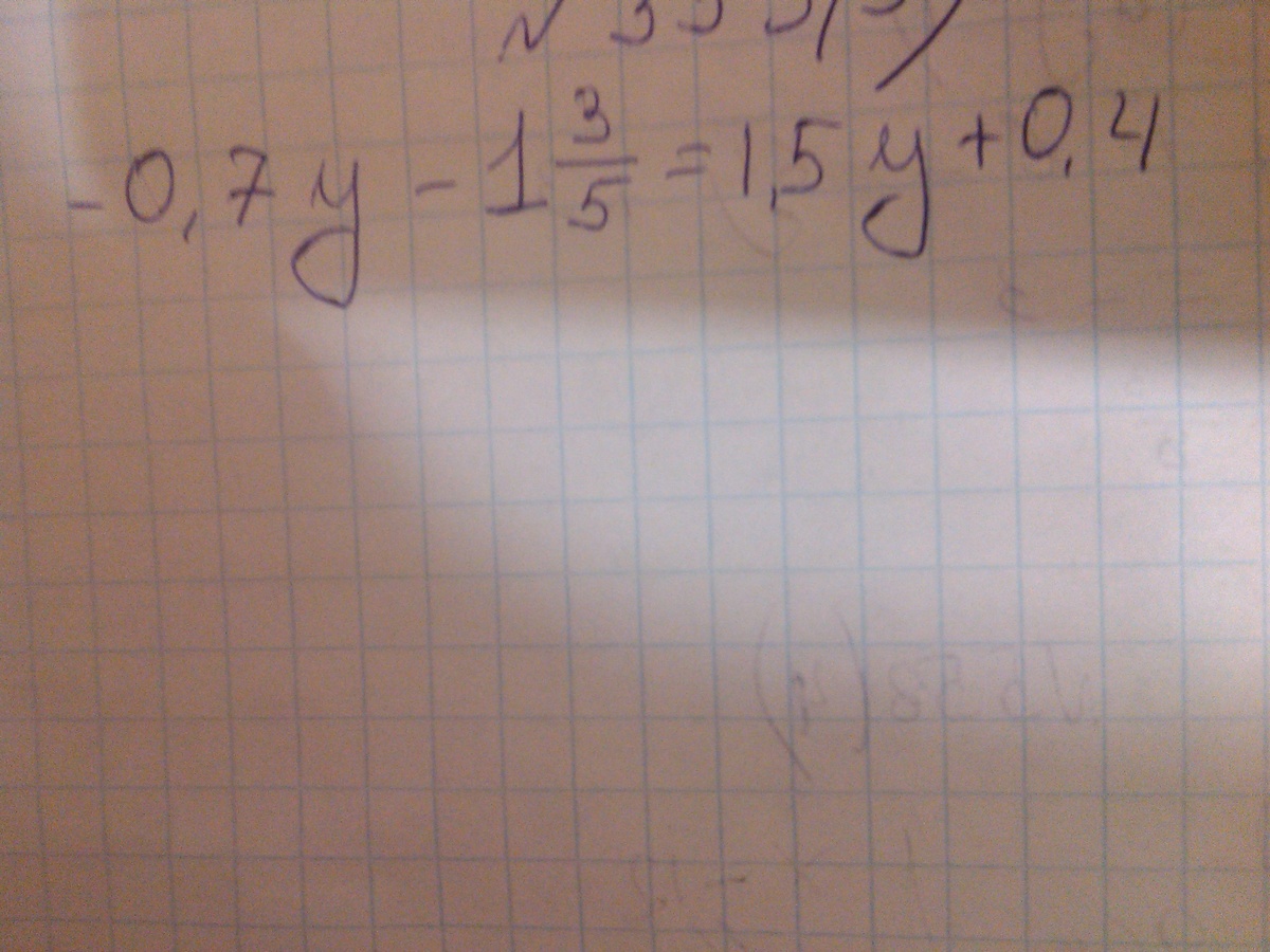
помогите решить уравнение предварительно составив план его решения
Приложения:
Ответы
Автор ответа:
0
-0.7y-1.5y=1.6+0.4
-2.2y=2
y=-1/1.1
-2.2y=2
y=-1/1.1
Похожие вопросы
Предмет: Математика,
автор: abylai36
Предмет: Математика,
автор: somuhtorovsoakbar8
Предмет: Алгебра,
автор: kfplsdasf
Предмет: Информатика,
автор: Ирина9828