Предмет: Алгебра, автор: starcevdaniil2011

ПЖ СРОЧНО ДАЮ ВСЕ БАЛЛЫ

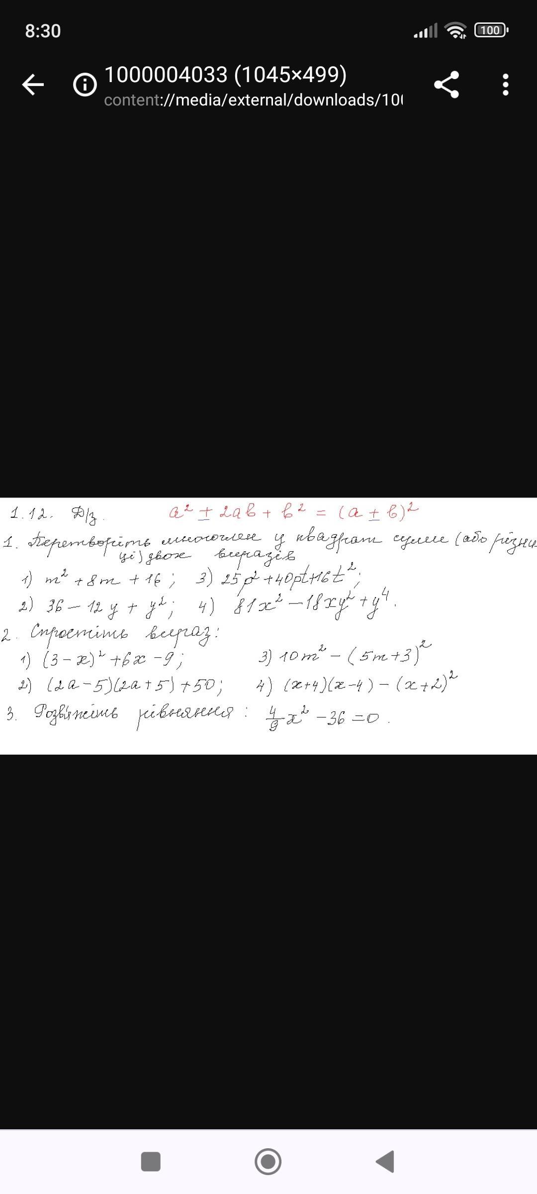
Приложения:

starcevdaniil2011: Пж
starcevdaniil2011: Это алгебра
starcevdaniil2011: Точнее геометрия
starcevdaniil2011: Простите
starcevdaniil2011: Тоесть алгебра
starcevdaniil2011: Та бл
starcevdaniil2011: Алгебра пж помогите это дз

Ответы

Автор ответа: NNNLLL54
2

Ответ:

Квадрат суммы или разности :   \bf (a\pm b)^2=a^2\pm 2ab+b^2  .

1)  Выделить полный квадрат .

\bf m^2+8m+16=m^2+2\cdot 4\cdot m+4^2=(m+4)^2\\\\25p^2+40pt+16t^2=(5p)^2+2\cdot 5p\cdot 4t+(4t)^2=(5p+4t)^2\\\\36-12t+t^2=(6=y)^2\\\\81x^2-18xy^2+y^4=(9x-y^2)^2  

2)  Упростить выражение .

\bf (3-x)^2+6x-9=9-6x+x^2+6x-9=x^2\\\\(2a-5)(2a+5)+50=4a^2-25+50=4a^2+25\\\\10m^2-(5m+3)^2=10m^2-(25m^2+30m+9)=-15m^2+30m+9\\\\(x+4)(x-4)-(x+2)^2=x^2-16-(x^2+4x+4)=-4x-20  

3)  Решить уравнение .

\bf \dfrac{4}{9}\,x^2-36=0\ \ \Rightarrow \ \ x^2=81\ \ ,\ \ x=\pm 9                  


starcevdaniil2011: Можно спросить?
starcevdaniil2011: У тебя там немного решение залезло за границу
starcevdaniil2011: Спс
NNNLLL54: Спроси
Похожие вопросы
Предмет: Алгебра, автор: Gonshik86
Предмет: Химия, автор: maranacesurina2