Предмет: Алгебра,
автор: ytxxxlexa
допоможіть будь ласка зробити
Приложения:
Ответы
Автор ответа:
0
Ответ:
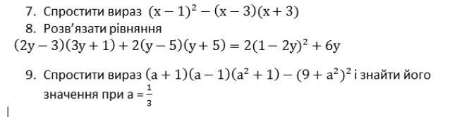
7) (х-1)²-(х-3)(х+3)=х²-2х+1-х²-9=-2х-8
8) (2у-3)(3у+1)+2(у-5)(у+5)=2(1-2у)²+6у
6у²+2у-9у-3+2у²-50=2-8у+8у²+6у
8у²-7у-53=2-2у+8у²
у²-7у-53-2+2у-8у²=0
7у²-5у-55=0
9 заданне ня ведаю
Похожие вопросы
Предмет: Математика,
автор: Noucman
Предмет: Геометрия,
автор: kbxkvtyc6z
Предмет: Окружающий мир,
автор: sezimbaurjanovna
Предмет: Английский язык,
автор: ibrabulat2018