Предмет: Алгебра,
автор: zipula1985
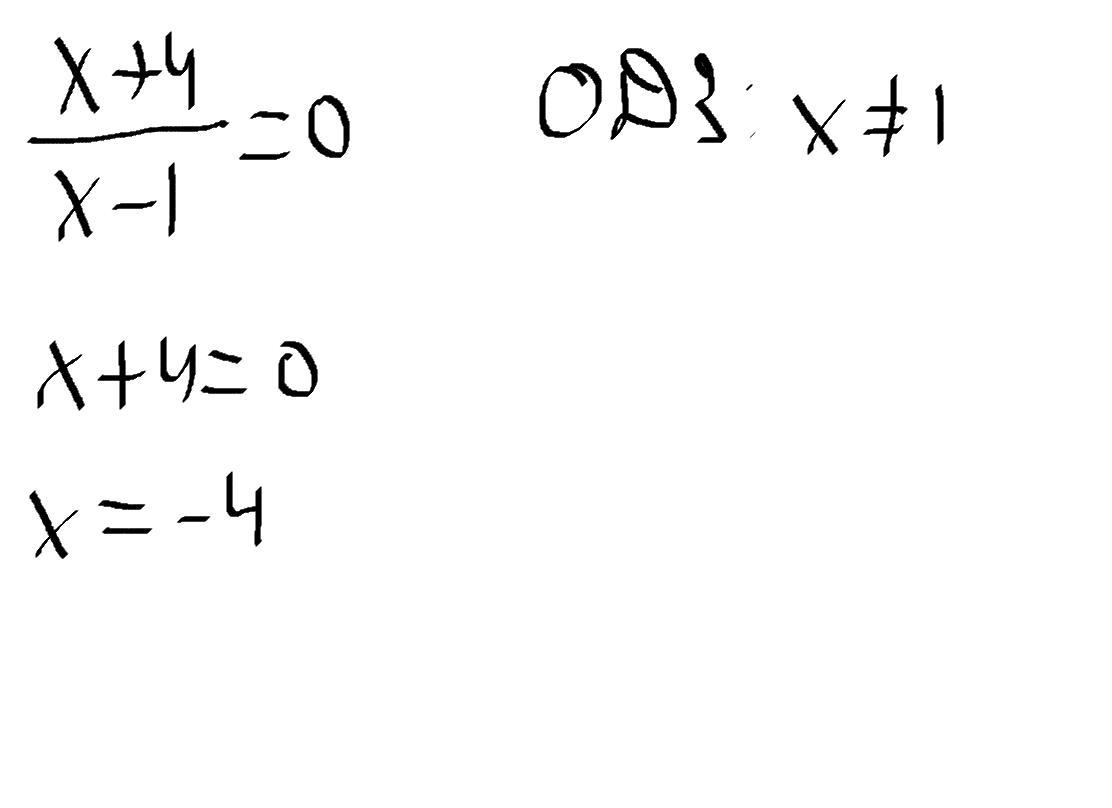
(x + 4)/(x - 1) = 0 помогите пожалуйста
Ответы
Автор ответа:
0
Ответ:
-4
Объяснение:
На фото
Приложения:
Похожие вопросы
Предмет: Биология,
автор: badovskay8912
Предмет: Другие предметы,
автор: mariya2009ua
Предмет: Информатика,
автор: annyyamyr
Предмет: Биология,
автор: goglevdanil
Предмет: Қазақ тiлi,
автор: Аноним