Предмет: Алгебра, автор: TeaWithMint2000

Задайте дану функцію формулою виду у = а (х - m)² + n і побудуйте її графік, використовуючи графік функції y=ax^ 2 .
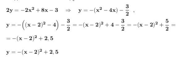
2 y = -2x² + 8x – 3.

Ответы

Автор ответа: Alnadya
1

Решение .

Выделяем полный квадрат .

\bf 2y=-2x^2+8x-3\ \ \ \Rightarrow \ \ \ y=-(x^2-4x)-\dfrac{3}{2}\ \ ,\\\\y=-\Big((x-2)^2-4\Big)-\dfrac{3}{2}=-(x-2)^2+4-\dfrac{3}{2}=-(x-2)^2+\dfrac{5}{2}=\\\\=-(x-2)^2+2,5\\\\y=-(x-2)^2+2,5  

Сначала строим график функции   \bf y=-x^2  . Это парабола, ветви вниз , вершина в точке (0;0) , проходит через точки (1;-1) , (-1;-1) .

Затем сдвигаем эту параболу на 2 единицы вправо по оси ОХ и на 2,5 единицы вверх по оси ОУ .  

Приложения:
Похожие вопросы
Предмет: Литература, автор: olgapavelko49
Предмет: Английский язык, автор: kriss111028