Предмет: Алгебра,
автор: boarskaavika358
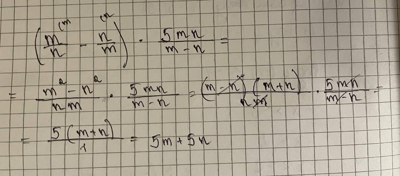
Спростити вирази, допоможить буд ласко
Приложения:
Ответы
Автор ответа:
1
Відповідь:
Пояснення:
Приложения:
Похожие вопросы
Предмет: География,
автор: olgashvardak
Предмет: Українська мова,
автор: rosadaandriana
Предмет: Математика,
автор: oksanavorobec14
Предмет: Литература,
автор: SN5
Предмет: Литература,
автор: LapaTopa