Предмет: Алгебра,
автор: gladen2001
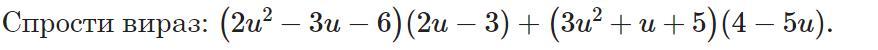
СРОЧНО ДАЮ 25 БАЛЛОВ!!!!!!!!!!!!!!!!!!!!!!!!!!!
Приложения:
Ответы
Автор ответа:
0
Відповідь:
Пояснення:
Приложения:
Похожие вопросы
Предмет: Математика,
автор: ikok79
Предмет: История,
автор: sergejpugacev608
Предмет: Математика,
автор: stasy8472
Предмет: Қазақ тiлi,
автор: sofia2312200885