Предмет: Алгебра,
автор: persandenis0
Допоможіть будь ласка . С простіть вираз де n- ціле число. Даю 100 балів .
Приложения:
Ответы
Автор ответа:
0
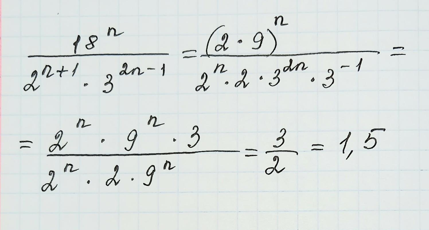
Ответ:
1.5
Объяснение:
решение на фото
Приложения:
Похожие вопросы
Предмет: Математика,
автор: Eva637382
Предмет: Химия,
автор: ialejnikov200938
Предмет: Литература,
автор: krisbutkovskaia
Предмет: Французский язык,
автор: milorop
Предмет: Русский язык,
автор: prosofia014