Предмет: Геометрия,
автор: alenicmisa
Вопрос на фото даю много балов, пж
Приложения:
Ответы
Автор ответа:
1
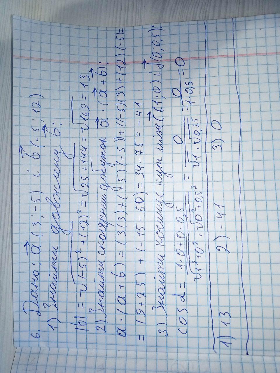
Відповідь:
1) 13
2) -41
3) 0
Пояснення:
Приложения:
firstkreox:
Thanks
Похожие вопросы
Предмет: Математика,
автор: dranytsiamaks
Предмет: Английский язык,
автор: mashakyrr
Предмет: Математика,
автор: u1994645
Предмет: Математика,
автор: Alkhff