Предмет: Математика,
автор: lorencovlad
допоможіть з задачею и рисунком
Приложения:
Ответы
Автор ответа:
0
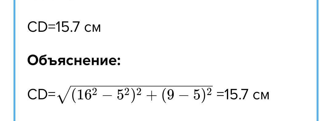
Ответ:
привет всем мой ответ
Пошаговое объяснение:
могу тебе помочь я по фото
Приложения:
lorencovlad:
неверно
Похожие вопросы
Предмет: Физика,
автор: irzanovaajdana1
Предмет: Литература,
автор: fujti
Предмет: Физика,
автор: yamakozcprtn
Предмет: Право,
автор: aktileksagidanova
Предмет: Геометрия,
автор: vladislavshleht2011