Предмет: Алгебра, автор: vladanicenko

решите пожалуйста до 21:00

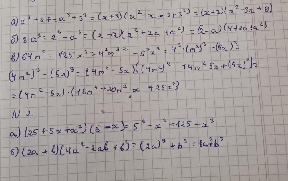
Приложения:

Ответы

Автор ответа: vovaka15092009
0

Відповідь:

1)в , 2)а

Пояснення:

Автор ответа: medetnuratov3
1

Ответ:

Попопопопопопопооопопопопопп

Приложения:

vladanicenko: СПАСИБООТ
Похожие вопросы
Предмет: Алгебра, автор: kadyrzhan27091981
Предмет: Русский язык, автор: ycenkokolu
Предмет: Биология, автор: jbtmvm5qni