Предмет: Алгебра, автор: fctdgsygfdhngfxzgsac

Використовуючи метод інтегрування частинами, обчислити.

Приложения:

Ответы

Автор ответа: NNNLLL54
1

Ответ:

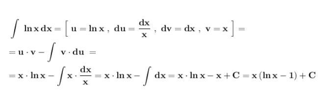
Метод интегрирования по частям .

\bf \displaystyle \int \ ln\, x\, dx=\Big[\ u=ln\, x\ ,\ du=\dfrac{dx}{x}\ ,\ dv=dx\ ,\ v=x\ \Big]=\\\\=u\cdot v-\int \ v\cdot du\ =\\\\=x\cdot ln\, x-\int x\cdot \frac{dx}{x}=x\cdot ln\, x-\int \, dx=x\cdot ln\, x-x+C=x\, (ln\, x-1)+C

Приложения:

fctdgsygfdhngfxzgsac: спасибо большое)
Похожие вопросы
Предмет: Другие предметы, автор: aygh19635