Предмет: Алгебра,
автор: cudnaveronika4
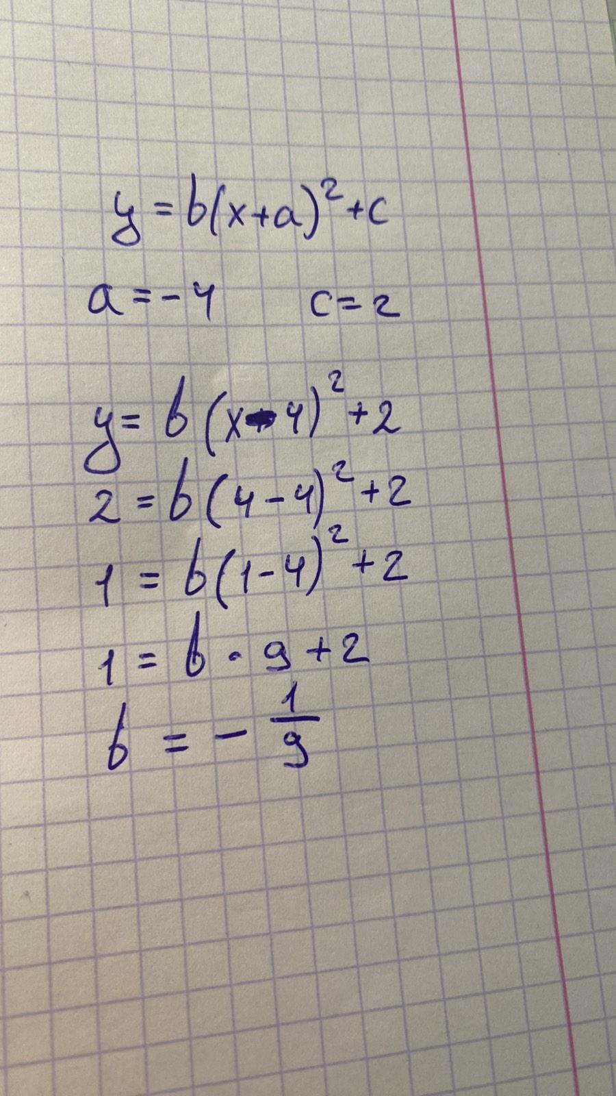
Знайдіть значення a,b і c
Приложения:
Ответы
Автор ответа:
1
Ответ:
держи
Объяснение:
Приложения:
Похожие вопросы
Предмет: Алгебра,
автор: batasovatana0
Предмет: Алгебра,
автор: vladvlaako
Предмет: Физика,
автор: Аноним
Предмет: Математика,
автор: Аноним
Предмет: Математика,
автор: sulejman850