Предмет: Алгебра,
автор: kseniaAr
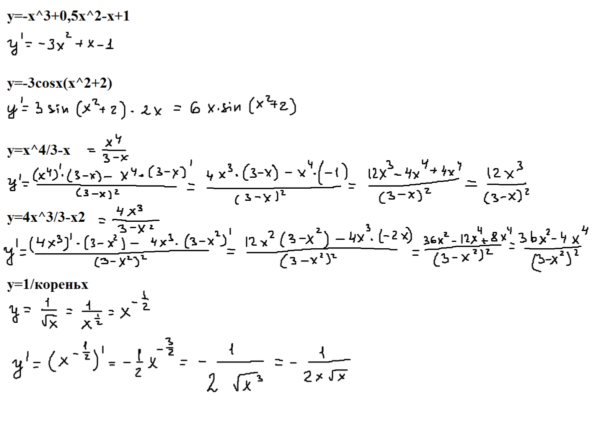
найдите производную
у=-x^3+0,5x^2-x+1
y=-3cosx(x^2+2)
y=x^4/3-x
y=4x^3/3-x2
y=1/кореньx
y=1/sinx
Ответы
Автор ответа:
0
Если понравилось решение - нажимай "спасибо" и "лучший" (рядом с кнопкой "спасибо") :)
Приложения:
Похожие вопросы
Предмет: Математика,
автор: glashaeliseeva2001
Предмет: Физкультура и спорт,
автор: melissaleskenova
Предмет: Английский язык,
автор: Аноним
Предмет: Литература,
автор: ody
Предмет: Биология,
автор: bebekaforever