Предмет: Алгебра, автор: JuliaAwww

Срочно, даю 50 баллов :) (полностью как расписать)​

Приложения:

Ответы

Автор ответа: tetamotatetyamotya
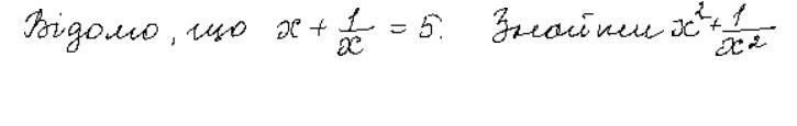
1

Ответ:

............

Объяснение:

.................

Приложения:

eyeyeyeyeye: но если из твоего уравнения корень квадратный взять то у тебя получится бред
tetamotatetyamotya: если квадратный корень убрать,получится исходное выражение
tetamotatetyamotya: данное задание решается так,как я написала
eyeyeyeyeye: корень из 23 = 5? интересно
tetamotatetyamotya: 23=х²+1/х² то есть 23 это ответ на вопрос.Посмотрите внимательно всё моё решение и вы,возможно,поймёте.Урывками понимать задание не стоит .
Похожие вопросы
Предмет: История, автор: Аноним
Варіант 1 Рівень 1 (0,5 б.) 1.Центром якого союзу племен був Київ? А) полян Б)сіверян В) деревлян Г )дулібів 2.Щорічний похід князя з метою збирання данини з підвладних племен називався А) полюддя Б) урок В) становище Г) віче 3.Кого з названих осіб князі вважали родоначаль­ником своєї династії? А )Кия Б )Аскольда В )Рюрика Г) Олега 4.У якому році відбулось об’єднання русь­ких земель князем Олегом? А) 860 р. Б) 882 р. В) 911 р. Г) 988 р. 5.Який із київських князів першим прийняв хрещення? А) Кий Б) Аскольд В) Дір Г )Олег 6.За якого князя Русь почала карбувати власну монету? А) Олега Б) Святослава В) Ярослава Мудрого Г) Володимира Великого Рівень 2(1б) 7.Дайте визначення поняттям: вотчина; мозаїка; данина. 8.Укажіть правильну відповідь: Завдяки яким обставинам великий київський князь Ярослав Му­дрий у 1036 р. «став єдиновладним володарем Руської землі»? А) успадкування земель Мстислава Володимировича Б) створення зводу законів «Руська правда» В) заснування Києво-Печерського монастиря Г) перемога над печенігами у битві під Києвом 9.Про кого сказано у тексті: Об’єднав Північну та Південну Русь в єдину державу. Спирався на допомогу варязької дружини. Прибив «свій щит « на воротах Константинополя. Рівень 3(1,5) 10. Установіть відповідність між подіями та князями: 1)Аскольд, 2)Олег, 3)Ольга, 4)Святослав. А)Приборкання повстання древлян. Б)Об’єднання Південних та Північних земель. В)Розгром Хозарського каганату. Г)Укладання першого договору з Візантією. 11.Розташуйте події у хронологічній послідовності: А)Хрещення Русі. Б) Розгром печенігів. В) Смерть князя Святослава. Г) Реформи княгині Ольги. Рівень 4(3 б) 12.Дайте характеристику князюванню Ярослава Мудрого. Зробіть висновки. ПКР за 1 семестр 7 клас Варіант 2 Рівень 1 (0,5 б.) 1.Центром якого союзу племен був Іскоростень? А) полян Б)сіверян В) деревлян Г )дулібів 2. Яким було головне заняття східнослов’янських племен? А )землеробство Б )торгівля В )скотарство Г) ремесло 3.У якому році великий князь Володимир хрестив Русь? А) 862 р. Б )882 р. В) 911 р. Г). 988 р. 4.Які кочові племена здійснювали напади на південні кордони Русі за часів правління князя Володимира Великого? А )хозари Б) печеніги В) половці Г) монголи 5.За якого князя створено звід законів «Руська Правда»? А) Олега Б) Святослава В) Ярослава Мудрого Г) Володимира Великого 6.Що стало приводом до повстання деревлян у 945 р.? А) повторне збирання данини київським князем Ігорем Б) усунення від влади Святославом княгині Ольги В) поход на Константинополь Г) встановлення у Києві влади династії Рюриковичів Рівень 2(1б) 7.Дайте визначення поняттям: монархія ; фреска; полюддя. 8.Укажіть правильну відповідь: Доньці якого київського князя писав такого листа Папа Рим­ський Миколай II: «Слава про ваші чесноти, прекрасна діво, дійшла до наших вух, і з великою радістю чуємо ми, що ви виконуєте в цій дуже християнській державі [Франції] свої королівські обов’язки з похвальним завзяттям і чудовим ро­зумом » ? А) Святослава Б)Володимира Вел. В) Ярослава Мудр Г)Волод Мономах 9.Про кого сказано у тексті:Вів боротьбу з хозарами. Організував Балканські походи. Загинув від рук печенігів. Рівень 3(1,5) 10. Установіть відповідність між подіями та князями: 1)Володимир В, 2)Олег, 3)Ольга, 4)Святослав. А) запровадження чіткого розміру данини. Б)побудова «змієвих валів». В)Вбивство Аскольда і Діра. Г) перемога над печенігами. 11. Розташуйте події у хронологічній послідовності: А)Розгром Хозарського Каганату. Б) Візит княгині Ольги до Константинополя. В)Любецький зїзд князів. Г) Побудова Десятинної церкви. Рівень 4(3 б)​
Предмет: Немецкий язык, автор: LeraLero