Предмет: Математика,
автор: kulpinakarina506
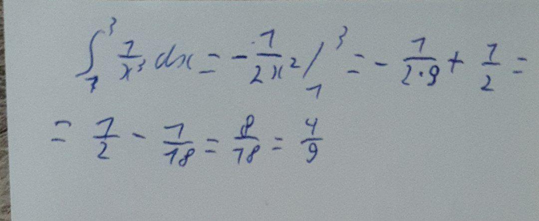
Допоможіть будь ласка!! 3 з розв'язанням, а 4 просто обрати літеру
Приложения:
Ответы
Автор ответа:
1
Ответ:
3г
4в
-------------------------------------------------------
Приложения:
Похожие вопросы
Предмет: Литература,
автор: snezhana9657
Предмет: Другие предметы,
автор: pinuginsasha
Предмет: История,
автор: svyata10112011
Предмет: Алгебра,
автор: nkalykova150