Предмет: Алгебра, автор: d29112177

Я дам вам 60 балів!!!!!!!!!!!!!

Приложения:

Ответы

Автор ответа: NNNLLL54
2

Ответ:

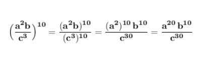
Применяем свойства степеней №7 , №6 , №5 .

\bf \Big(\dfrac{a^2b}{c^3}\Big)^{10}=\dfrac{(a^2b)^{10}}{(c^3)^{10}}=\dfrac{(a^2)^{10}\, b^{10}}{c^{30}}=\dfrac{a^{20}\, b^{10}}{c^{30}}                

Приложения:
Похожие вопросы
Предмет: Биология, автор: abdullazhonovusmon
Предмет: Українська література, автор: yarik125700
Предмет: Химия, автор: nevolinairina1411
Предмет: Биология, автор: chotbaevnurislam2007