Предмет: Алгебра, автор: fctdgsygfdhngfxzgsac

Обчислити інтеграли методом заміни змінних.

Приложения:

Ответы

Автор ответа: NNNLLL54
1

Ответ:

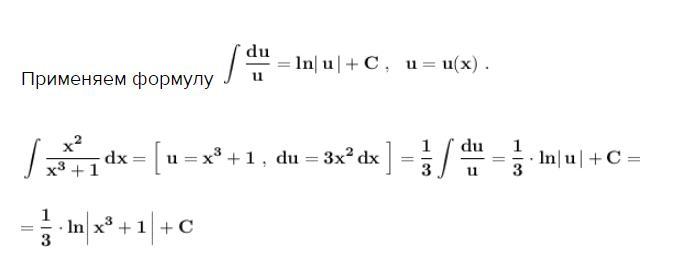
Метод замены переменной .

Применяем формулу  \bf \displaystyle \int \frac{du}{u}=ln|\, u\, |+C\ ,\ \ u=u(x)\ .  

\bf \displaystyle \int \frac{x^2}{x^3+1}\, dx=\Big[\ u=x^3+1\ ,\ du=3x^2\, dx\ \Big]=\frac{1}{3}\int \frac{du}{u}=\frac{1}{3}\cdot ln|\, u\, |+C=\\\\\\=\frac{1}{3}\cdot ln\Big|\, x^3+1\, \Big|+C    

Приложения:

fctdgsygfdhngfxzgsac: спасибо большое)
Похожие вопросы
Предмет: Математика, автор: POLOHROM