Предмет: Математика,
автор: ino49822
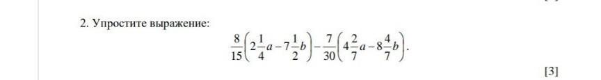
помогите пожалуйста
Приложения:
Ответы
Автор ответа:
0
Ответ:
Не знаю реально клянусь
Пошаговое объяснение:
Похожие вопросы
Предмет: Қазақ тiлi,
автор: 090223nursulu
Предмет: Математика,
автор: Аноним
Предмет: Английский язык,
автор: ytosa120
Предмет: Химия,
автор: al22853f
Предмет: Математика,
автор: violettaatlasova0820