Предмет: Алгебра,
автор: miamasha631
СРОЧНО ПОЖАЙЛУСТА ПОМОГИТЕ
Приложения:
Ответы
Автор ответа:
0
Ответ:
............
Объяснение:
..................
Приложения:
tetamotatetyamotya:
автор,что нужно было сделать?Что написано в задании просто решить или разложить на множители?
Автор ответа:
0
Объяснение:
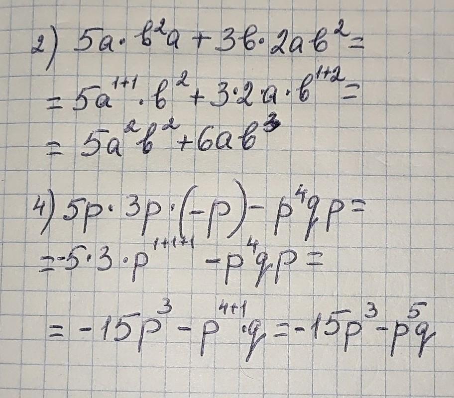
1. если упростить вырожение то ответ: 5a²b²+6ab³
если разложить на множетели то ответ: ab²(5a+6b)
2.если упростить вырожение то ответ: -15p³-p⁵q
если разложить на множетели то ответ: -p³ (15+p²q)
Похожие вопросы
Предмет: Информатика,
автор: gabrieltereshchenko
Предмет: Қазақ тiлi,
автор: aruzan629
Предмет: Қазақ тiлi,
автор: kolesnicenkovaleria
Предмет: Биология,
автор: Аноним
Предмет: Математика,
автор: polyzywix