Предмет: Алгебра,
автор: nosulaaleksej0
Ось завдання. Допоможіть будь-ласка!
Приложения:
Ответы
Автор ответа:
1
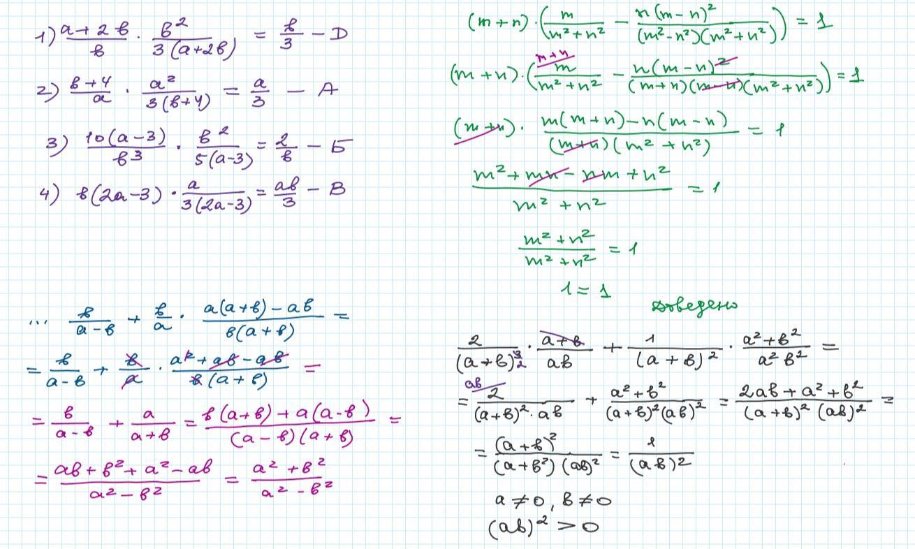
Ответ:
на фото
Объяснение:
Приложения:
nosulaaleksej0:
Дякую за відповідь
Похожие вопросы
Предмет: Биология,
автор: myrzabaevanazym859
Предмет: Математика,
автор: boss2239
Предмет: Английский язык,
автор: vkavarnaly785
Предмет: История,
автор: ovnikyana2008
Предмет: Українська література,
автор: obodak509