Предмет: Алгебра,
автор: olgaklemcuk
оолооооо срочна на уроке делаем ( урок онлайн)
Приложения:
Ответы
Автор ответа:
1
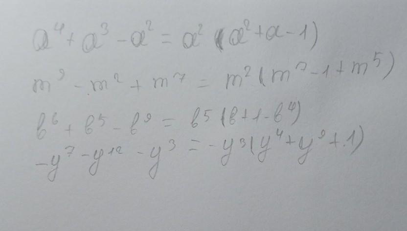
Ответ:
все на фото и ещё можешь пожалуйста поставить лучший ответ? ♡
Приложения:
olgaklemcuk:
дякую велике , дам лучший ответ когда появиться кнопка
спасибо ♡
Похожие вопросы
Предмет: Немецкий язык,
автор: karina855470
Предмет: Литература,
автор: makarskiydan2020
Предмет: Литература,
автор: shakerovaalifia11
Предмет: Математика,
автор: Аноним
Предмет: География,
автор: smastykash228