Предмет: Математика,
автор: kampazavrrrrr
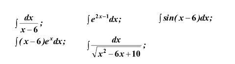
Невизначені інтеграли
Приложения:
Ответы
Автор ответа:
0
Інтеграли (невизначені)
Похожие вопросы
Предмет: Физика,
автор: AndriyUK1
Предмет: Қазақ тiлi,
автор: plshnax
Предмет: Английский язык,
автор: FirePain
Предмет: Қазақ тiлi,
автор: bbekbolat393
Предмет: Математика,
автор: aikienova89