Предмет: Алгебра,
автор: sofiagliva777
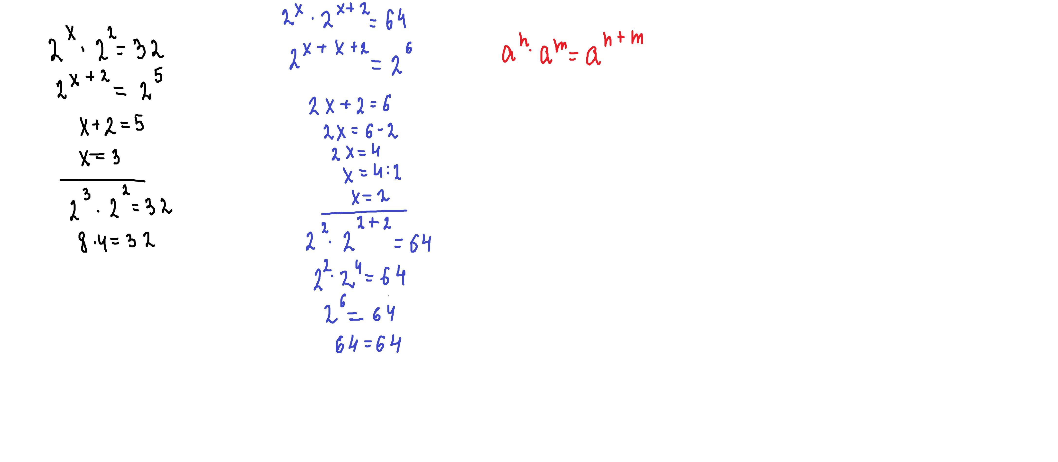
63.(2,3) При яких значеннях змінної вірна рівність?
2)2^х*2^2=32;
3)2^х*2^х+2=64.
Пж срочно, отправляю 2 раз!
Ответы
Автор ответа:
1
Ответ:
Объяснение:
решение внизу
Приложения:
zefirk79:
Помогите пожалуйста с алгеброй последнее в профиле.
Спасибо большое!
Похожие вопросы
Предмет: Английский язык,
автор: evgeha1309198541
Предмет: Английский язык,
автор: katjamosh
Предмет: Физика,
автор: voooddaacheek
Предмет: Алгебра,
автор: Nazym000