Предмет: Алгебра, автор: dburanova365

Допоможіть, будь ласка, з алгеброю!!

Приложения:

Ответы

Автор ответа: 7x8
0

Ответ:

\displaystyle 9

Объяснение:

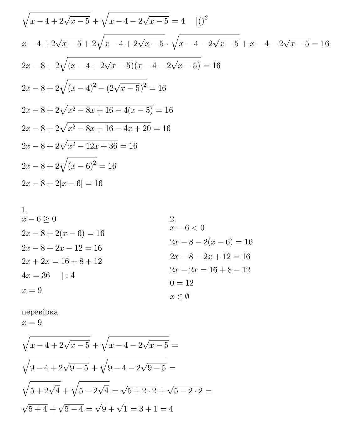
\displaystyle \sqrt{x-4+2\sqrt{x-5}}+\sqrt{x-4-2\sqrt{x-5}}=4\ \ \ \ |()^2\\\\x-4+2\sqrt{x-5}+2\sqrt{x-4+2\sqrt{x-5}}\cdot \sqrt{x-4-2\sqrt{x-5}}+x-4-2\sqrt{x-5}=16\\\\2x-8+2\sqrt{(x-4+2\sqrt{x-5})(x-4-2\sqrt{x-5})}=16\\\\2x-8+2\sqrt{(x-4)^2-(2\sqrt{x-5})^2}=16

\displaystyle 2x-8+2\sqrt{x^2-8x+16-4(x-5)}=16\\\\2x-8+2\sqrt{x^2-8x+16-4x+20}=16\\\\2x-8+2\sqrt{x^2-12x+36}=16\\\\2x-8+2\sqrt{(x-6)^2}=16\\\\2x-8+2|x-6|=16

\displaystyle 1.\\x-6\geq 0\\\\2x-8+2(x-6)=16\\\\2x-8+2x-12=16\\\\2x+2x=16+8+12\\\\4x=36\ \ \ \ |:4\\\\x=9

\displaystyle 2.\\x-6 < 0\\\\2x-8-2(x-6)=16\\\\2x-8-2x+12=16\\\\2x-2x=16+8-12\\\\0=12\\\\x\in\emptyset

перевірка

\displaystyle x=9\\\\\sqrt{x-4+2\sqrt{x-5}}+\sqrt{x-4-2\sqrt{x-5}}=\\\\\sqrt{9-4+2\sqrt{9-5}}+\sqrt{9-4-2\sqrt{9-5}}=\\\\\sqrt{5+2\sqrt{4}}+\sqrt{5-2\sqrt{4}}=\sqrt{5+2\cdot 2}+\sqrt{5-2\cdot 2}=\\\\\sqrt{5+4}+\sqrt{5-4}=\sqrt{9}+\sqrt{1}=3+1=4

Приложения:
Похожие вопросы
Предмет: Математика, автор: inessaparhomenko515
Предмет: Английский язык, автор: bulochkaler