Предмет: Математика,
автор: djdnf51
Срочнооо!!!!
Найти производную
даю 25 баллов!!!!
Приложения:
Ответы
Автор ответа:
2
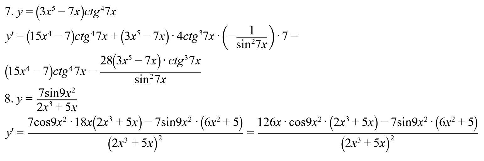
Ответ:
Пошаговое объяснение:
////////////////////////////////////////////////////////////
Приложения:
djdnf51:
Спасибо,можете ещё ответить на 2 мои вопросов по этой теме. В профиле они есть
пожалуйста
Добрый день,решите пожалуйста два моих здания в моем профиле
Очень срочно нужно!!!! Пожалуйста
Очень срочно нужно!!!! Пожалуйста
Похожие вопросы
Предмет: История,
автор: OMixSer
Предмет: Химия,
автор: starlightmeow
Предмет: Английский язык,
автор: ternovichristina01
Предмет: Физика,
автор: kopevaana84
Предмет: Химия,
автор: darinaaa2000