Предмет: Математика,
автор: 584478
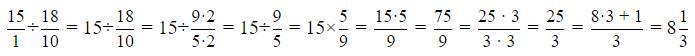
Можно по действиям пожалуйста
Приложения:
Ответы
Автор ответа:
0
////////////////////////////////////////////////////////////
Приложения:
Автор ответа:
0
Если актуально еще, то лови!
Приложения:
Похожие вопросы
Предмет: История,
автор: Valero444ka
Предмет: Физика,
автор: kgsgdbdnnegshsosks
Предмет: История,
автор: margaritabilovus
Предмет: Английский язык,
автор: shaira11
Предмет: Биология,
автор: tolikzvezdockin