Предмет: Алгебра,
автор: Katja5689
Алгебра 7 клас.
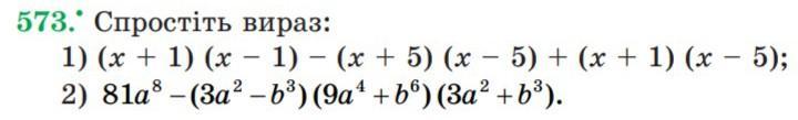
Завдання на фото.
Приложения:
Ответы
Автор ответа:
0
ответ на фото модно найліпшу відповідь
Приложения:
Похожие вопросы
Предмет: Алгебра,
автор: bogdansavchyshyn11
Предмет: Алгебра,
автор: dimakolomijcuk261120
Предмет: МХК,
автор: katyshkaponyatnaya2
Предмет: Химия,
автор: abylayaltynbek2006
Предмет: Русский язык,
автор: 996459