Предмет: Алгебра,
автор: Аноним
помогите пажалустала
Приложения:
Ответы
Автор ответа:
2
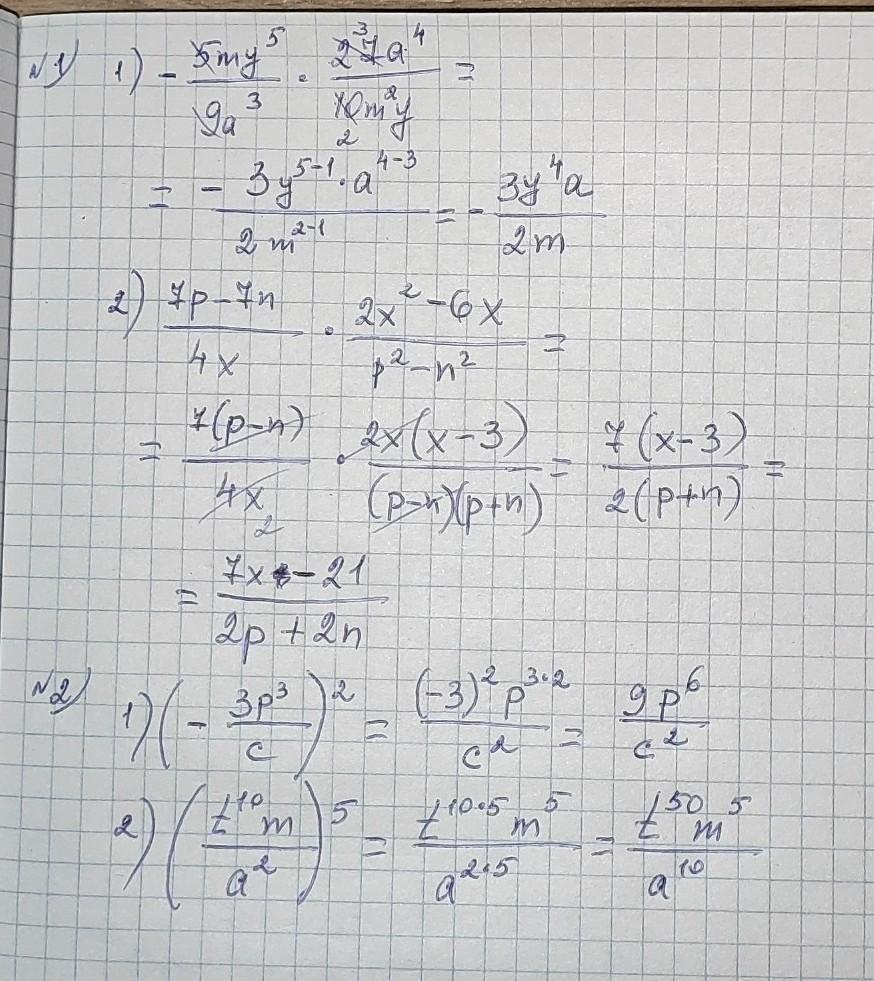
Ответ:
..............
Объяснение:
...................
Приложения:
tetamotatetyamotya:
я постараюсь вам помочь
можешь пожалуйста и мне помочь тетя мотя я тебя очень прошу
могу даже потом выложить + вопрос тебе на халяву ещё 100 баллов
блиин тетя мотя пожалуйста
на коленях прошу
Похожие вопросы
Предмет: Математика,
автор: Zhenya273
Предмет: Алгебра,
автор: stepandrey2007a
Предмет: Английский язык,
автор: wnixxsq
Предмет: Литература,
автор: serikkyzyaidana2002
Предмет: Математика,
автор: Ssfgbbnn