Предмет: Математика, автор: ingapoddybnyak

Плиииииииииииииз! Помогите!

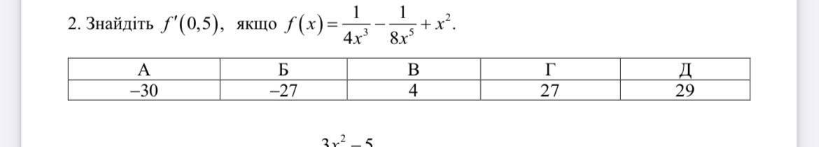
Приложения:

Ответы

Автор ответа: ulzanmusina0
1

Ответ:

f(0.5) =   \frac{1}{8} -  \frac{1}{1024}  +0.25 =  \frac{383}{124}

Похожие вопросы
Предмет: Информатика, автор: lehadilogo
Предмет: История, автор: ismira680
Тест «Великий Шелковый путь»
1. В первую очередь маршрут использовался для вывоза:
а) бамбука из Китая
б) шёлка из Китая
в) чая из Китая
2. Путь был проложен в этом веке до н. э.:
а) I веке
б) III веке
в) II веке
3. Посланники китайского императора У Ди, направленные с дипломатической миссией в западные страны в 138 году, вернулись обратно спустя:
а) 17 лет
б) 20 лет
в) 13 лет
4. Долгое время Китай хранил в тайне производство:
а) риса
б) шелка
в) ситца
5. Где брал свое начало Великий Шелковый путь:
а) в долине р. Инд
б) в нижнем течении Сырдарьи
в) в районе р. Хуанхэ в Китае
6. Где производство шелка было налажено так хорошо, что там могли соперничать даже с Китаем:
а) Закавказье
б) Согдиана
в) Япония
9. Какая территория Казахстана являлась главными воротами на Восток:
а) Семиречье
б) Западный Казахстан
в) Сырдарьинская долина
10. Для транспортировки использовались главным образом:
а) слоны
б) ламы
в) верблюды